同步带轮AT5是指一种带有齿轮的同步带轮,它通常由铝合金或钢制成,并具有一组齿轮,可用于传动动力或扭矩,同步带轮AT5的主要特点是精细加工,使其能够准确地传动能量,而且具有稳定的运行特性和有效的传动效率,此外,由于它们的耐用性和可靠性,同步带轮AT5通常用于高负荷和高速度应用,例如机械和自动化设备,甚至汽车发动机中。
BetterDo
同步带轮功率范围图

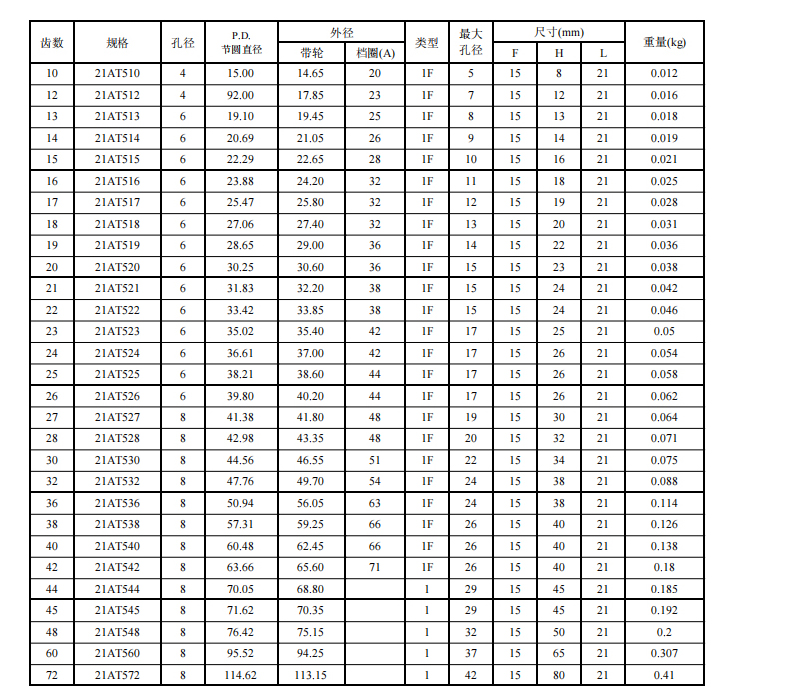
AT5 同步带轮 - 5mm节距直孔xk星空体育 AT-T

适用于AT5,16mm宽同步带所有尺寸以mm为单位 
AT5xk星空体育 以铝合金提供
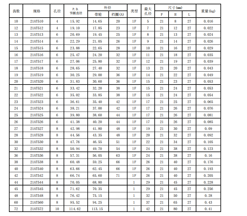
AT5 同步带轮 - 5mm节距直孔xk星空体育

适用于AT5,16mm宽同步带

所有尺寸以mm为单位
AT5xk星空体育 以铝合金提供